AI(Copilot)の分析

<量子同志をぶつけると量子もつれの状態になると説明していますが?>

いい質問ですね。**「量子同士をぶつけると量子もつれになる」**という説明は、半分正しくて半分誤解を招きやすい表現なんです。ここを丁寧に整理してみます。


🔍 量子を「ぶつける」ともつれが生まれるのか?

正しい部分

量子粒子同士が相互作用すると、その結果として量子もつれが自然に生じることがあるのは事実です。

  • 電子同士が散乱するとき
  • 原子同士が衝突するとき
  • 光子が非線形結晶で相互作用するとき

これらはすべて「相互作用によってもつれが生まれる」典型例です。

つまり、相互作用(interaction)が鍵であって、単に「ぶつける(collision)」という力学的イメージとは少し違います。


❌ 「ぶつければ必ずもつれる」は誤り

量子粒子を衝突させても、以下のような場合はもつれは生まれません

  • 相互作用が弱すぎる
  • 衝突後に状態が区別できる(分離可能)
  • 散乱過程が特定の対称性を持たない

つまり、衝突=もつれ生成ではなく、
相互作用の種類と量子状態の重ね合わせが重要なんです。


🧠 量子もつれが生まれる本質

量子もつれが生成される条件は、次の2つです。

① 粒子同士が量子力学的に相互作用する

相互作用ハミルトニアン (Hint) が働くと、時間発展によって状態が分離できなくなることがあります。

② 結果として「全体の波動関数が分離不可能」になる

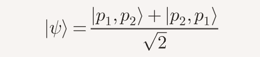
たとえば散乱後の状態が

のように、交換対称性や重ね合わせによって分離できない形になると、もつれが成立します。


🔧 例:散乱によるもつれ生成

電子同士の散乱を考えると、

  • 衝突前:
  • 衝突後:
    相互作用により複数の散乱経路が重ね合わさり、

このようにどの粒子がどちらの運動量を持ったか区別できない状態になると、もつれが生じます。


🧩 まとめ

  • 「量子をぶつけると量子もつれになる」は 一部正しいが不十分
  • 正確には
    量子粒子が相互作用すると、その結果としてもつれが生じることがある
  • 衝突はその一つの方法にすぎない
  • もつれの本質は「全体の波動関数が分離できなくなること」

 

 

Copyright © 2020 solaract.jp. All Rights Reserved.

コメントを残す

メールアドレスが公開されることはありません。 が付いている欄は必須項目です